Vuoden 2023 eduskuntavaalit olivat poikkeukselliset, sillä niiden pohjalta muodostettiin Suomen lähihistorian oikeistolaisin hallitus. Täten viime eduskuntavaalit tarjoavatkin hedelmällisen mahdollisuuden tarkastella, miten suomalainen oikeisto sisäisesti eroaa.

Mikä tekijä erottaa perussuomalaisten äänestäjät kaikkien muiden eduskuntapuolueiden äänestäjistä? Analyysini perusteella yksittäisenä erottavana tekijänä esiin nousee kulttuurinen konservatiivisuus. Muiden eduskuntapuolueiden äänestäjistä poiketen perussuomalaisten äänestäjät näyttävät suhtautuvan negatiivisesti monikulttuurisuuteen, maahanmuuttoon ja seksuaali- ja sukupuolivähemmistöjen oikeuksien vahvistamiseen.
Ensimmäisessä blogikirjoituksessani avasin tutkielmani hypoteesia ja teoreettisia lähtökohtia. Tutkielmassani tarkastelen Perussuomalaisen puolueen asemaa suomalaisessa oikeistossa. Tarkastelussa minua erityisesti kiinnostaa, mitkä seikat erottavat Perussuomalaiset perinteisistä suomalaisista porvaripuolueista Kansallisesta Kokoomuksesta ja Suomen Keskustasta.
Tutkimuksen aineisto ja menetelmä
Alustan tutkielmaani käymällä läpi sen menetelmää ja käyttämääni aineistoa. Tutkielman aineisto on
Oikeusministeriön julkaisema ja vaalitutkimuskonsortion toteuttama Eduskuntavaalitutkimus 2023 . Aineisto koostuu kokonaisuudessaan 8 636 vastaajasta, mutta koska kaikkia tutkielmassa käytettyjä kysymyksiä ei ole kysytty kaikilta vastaajilta ja koska aineistoa pitää tasapainottaa ruotsinkielisten yliedustuksen osalta, lopullinen otoskoko tutkielmassani on 3 322. Taulukossa 1. on kuvattuna käyttämäni aineiston sosiodemografiset avainluvut.
Taulukon oikeanpuoleisin sarake NA kuvaa puuttuvien vastausten määrää kyseisten muuttujien osalta. Olen käsitellyt aineistoa siten, että sukupuolen kohdalla 0 kuvaa miestä ja 1 naista. Näiden lisäksi aineistossani oli 43 ihmistä, jotka vastasivat sukupuolen kohdalle ”Muu” tai ”En halua sanoa”. Koska näin vastanneita on niin pieni määrä, olen poistanut vastaajat aineistosta. Pienen määrän takia heidän äänestyskäyttäytymisestään ei voida vetää johtopäätöksiä. Koulutuksen kohdalla pienin arvo 1 edustaa vastausta ” En ole käynyt koulua” ja suurin arvo 12 edustaa lisensiaatin tai tohtorin tutkintoa. Liberaali-konservatiivi ja vasemmisto-oikeisto muuttujien kohdalla kyseessä on vastaajien oma arvio heidän sijoittumisestaan näille akseleille.
Tutkielman menetelmänä käytän nominaalista regressiota. Lyhyesti avattuna nominaalinen regressio on regressioanalyysin versio, jossa verrataan yhtä kategorian tapausta kaikkiin muihin kategorian tapauksiin. Tutkielmassani hyödynnän nominaalista regressiota vertaamalla perussuomalaisia äänestäneitä kaikkia muita eduskuntapuolueita äänestäneisiin.
Yllä mainittujen muuttujien lisäksi hyödynnän tutkielmassani kolmea mielipidettä mittaavaa muuttujaa. Näiden muuttujien avulla pyrin havaitsemaan aikaisemmassa kirjoituksessani mainitsemaa kulttuurista takaiskua. Kulttuurisen takaiskun mukaan ihmiset äänestävät populistisia puolueita, koska he kokevat jäävänsä yhteiskunnan valtavirran ulkopuolelle kulttuuristen näkemystensä vuoksi . Ajatuksena siis on, että kulttuurillisesti konservatiiviset ihmiset kokevat vieraantuvansa yhteiskunnasta, kun valtavirtakulttuuriin nousee esimerkiksi seksuaalivähemmistöjen laajemmat oikeudet tai monikulttuurisuus. Tällaiset ihmiset päätyvät äänestämään populisteja, jotka lupaavat ajaa kulttuurillisesti konservatiivisempia arvoja .
Kuten ylempänä todettua, hyödynnän tutkielmassani kolmea mielipidekysymystä, joiden perusteella tarkastelen kulttuurista konservatiivisuutta. Kysymyksissä on esitetty väittämä koskien Suomen tulevaisuuden suuntaa, ja vastaajien tulee kertoa, onko kyseessä hyvä vai huono ehdotus asteikolla 0–10, jossa 10 on erittäin hyvä ehdotus ja 0 erittäin huono ehdotus. Tutkielman motivoimiseksi olen sijoittanut taulukkoon 2 ensin väittämien mediaanin ja keskiarvon koko aineiston osalta, ja niiden perään samat tunnusluvut niiden vastaajien osalta, jotka kertoivat äänestäneensä perussuomalaisia vuoden 2023 eduskuntavaaleissa.
Taulukosta 2 on selkeästi nähtävissä, että kaikkien kolmen muuttujan kohdalla perussuomalaisia äänestäneet ovat keskimäärin suhtautuneet väitteisiin negatiivisemmin verrattuna koko otokseen. Analyysissä olen yhdistänyt nämä kolme väittämää yhdeksi muuttujaksi, jonka avulla pyrin tarkastelemaan vastaajien kulttuurillista konservatismia.
Kulttuuriset tekijät erottavana tekijänä
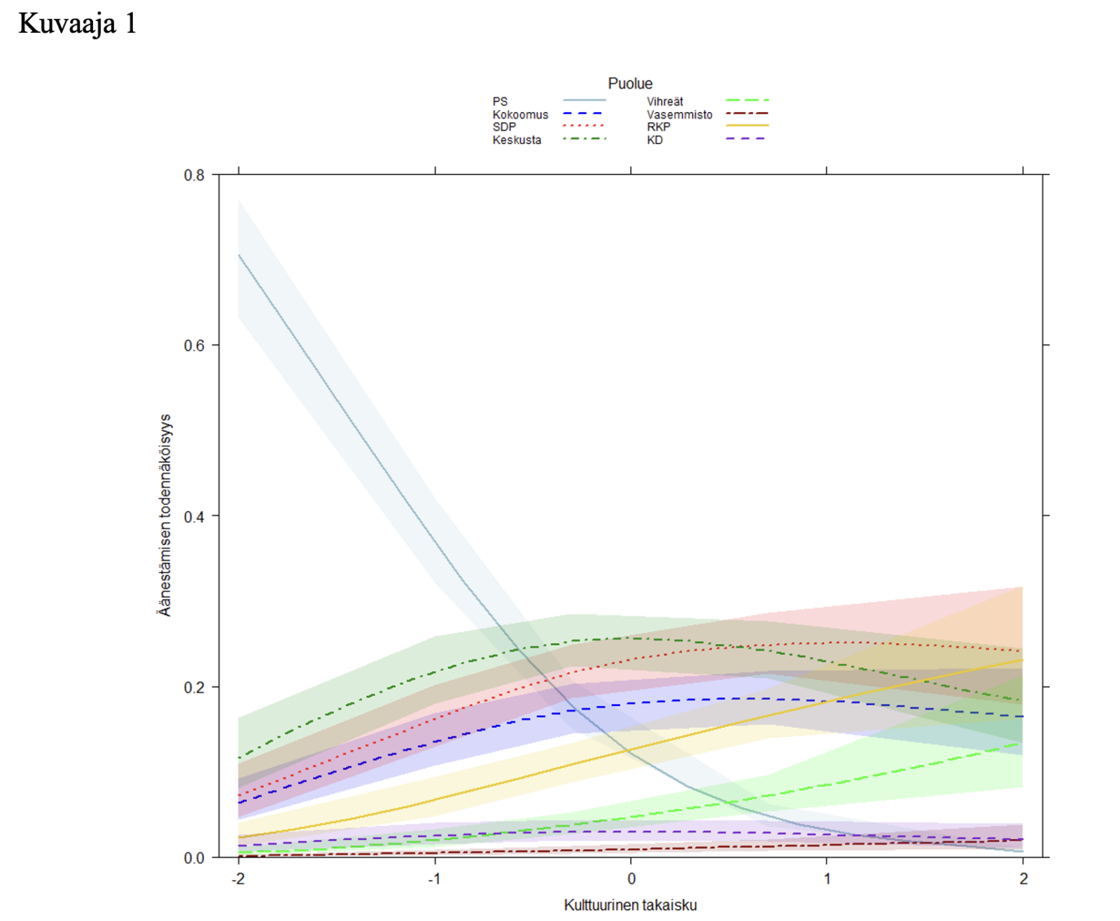
Taulukon 2. perusteella näyttäsi siltä, että perussuomalaisia äänestäneet eroavat muita eduskuntapuolueita äänestäneistä juuri kulttuurisen konservatiivisuuden perustella. Tämän hypoteesin varmistamiseksi analysoin äänestyskäyttäytymistä aikaisemmin mainitun nominaalisen regression avulla. Regression avulla pystyn analysoimaan, löytyykö korrelaatiota perussuomalaisten äänestämisestä ja äänestäjän kulttuurisen konservatismin väliltä. Olen tutkielmassani hyödyntänyt yhteiskuntatieteissä yleisesti käytettyä 95 prosentin luottamustasoa. Tämä tarkoittaa, että jos väestöstä otetaan 100 otosta, löytyy kyseessä oleva tilastollinen löydös ainakin 95 otoksesta . Alla olevassa kuvaajassa 1 on esitetty regressiomallin tulokset kulttuurisen muuttujan osalta. Kirjoituksen lopussa on liitteenä regressionanalyysin tulokset kyseisen muuttujan osalta.

Kuvaajasta 1 nähdään selvästi, että muiden puolueiden osalta muuttujan efekti jää varsin maltilliseksi, mutta perussuomalaisten kohdalla vaikutus on huomattava. Perussuomalaisia kuvaava viiva nousee kohti kulttuurinen takaisku -akselin negatiivista päätä, eli äänestäjän todennäköisyys valita perussuomalaiset kasvaa äänestäjän kulttuuristen mielipiteiden siirtyessä konservatiivisempaan suuntaan. Analyysin perusteella näyttääkin, että yksi tekijöistä, joka erottaa perussuomalaisten äänestäjät muiden eduskuntapuolueiden äänestäjistä, on kulttuurinen konservatiivisuus.

Richard Engström




